题目内容

在数列{an}中,a1=1,an+1=1-,bn=,其中n∈N*,
(Ⅰ)求证:数列{bn}为等差数列;
(Ⅱ)求证:

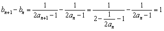
证明:(Ⅰ)
∴数列{bn}为等差数列。
(Ⅱ)因为
所以
原不等式即为证明
成立,
用数学归纳法证明如下:
当n=2时,成立,所以n=2时,原不等式成立;
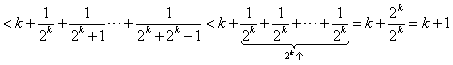
假设当n=k时,成立,
当n=k+1时,


所以当n=k+1时,不等式成立;
所以对n∈N*,n≥2,总有成立。

练习册系列答案
相关题目

违法和不良信息举报电话:027-86699610 举报邮箱:58377363@163.com

精英家教网