题目内容
计算:(1)(2)(lg2)2+lg20×lg5.
【答案】分析:(1)用分数指数幂的运算性质化简;(2)观察所给式子,该题考察结论:lg2+lg5=1,所以利用结论化简.
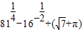
解答:解:(1)
=
=
(2)(lg2)2+lg20×lg5=(lg2)2+(2lg2+lg5)•lg5=(lg2)2+2lg2•lg5+(lg5)2=(lg2+lg5)2=1
点评:该题考查运算性质的把握以及运算能力,做这类题目一定要注意观察数字特点或者式子的构成,明确考查什么才能对症下药解决问题.
解答:解:(1)
(2)(lg2)2+lg20×lg5=(lg2)2+(2lg2+lg5)•lg5=(lg2)2+2lg2•lg5+(lg5)2=(lg2+lg5)2=1
点评:该题考查运算性质的把握以及运算能力,做这类题目一定要注意观察数字特点或者式子的构成,明确考查什么才能对症下药解决问题.
练习册系列答案
相关题目