题目内容
(本小题12分)已知函数的最小周期为
(1)求的值;
(2)令,求在上的最大值
(本小题12分)
(1)
……4分
……6分
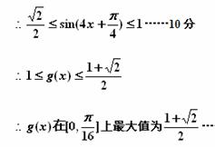
(2)……8分
(本小题12分)已知,,直线与函数、的k*s#5^u图象都相切,且与函数的k*s#5^u图象的k*s#5^u切点的k*s#5^u横坐标为.
(Ⅰ)求直线的k*s#5^u方程及的k*s#5^u值;
(Ⅱ)若(其中是的k*s#5^u导函数),求函数的k*s#5^u最大值;
(Ⅲ)当时,求证:.
(本小题12分)已知等比数列中,。(1)求数列的通项公式;(2)设等差数列中,,求数列的前项和.
已知顶点在原点,焦点在轴上的抛物线与直线交于P、Q两点,|PQ|=,求抛物线的方程
已知圆C:;
(1)若直线过且与圆C相切,求直线的方程.
(2)是否存在斜率为1直线,使直线被圆C截得弦AB,以AB为直径的圆经过原点O. 若存在,求
出直线的方程;若不存在,说明理由.
(本小题12分)已知函数
(1) 求这个函数的导数;
(2) 求这个函数的图像在点处的切线方程。