题目内容
数列{
}首项a1=1,前n项和
与
之间满足
.
(1)求证:数列
是等差数列;
(2)求数列{
}的通项公式;
(3)设存在正数k,使
对一切n∈N*都成立,求k的最大值.
(1)求证:数列
(2)求数列{
(3)设存在正数k,使
(1)证明:∵n≥2时,
=
﹣
﹣1
∴
-
-1=
∴
-1﹣
=2
·
-1
∴
(n≥2)
∴数列{
|是以
=1为首项,以2为公差的等差数列
(2)解:由(1)知
=1+(n﹣1)×2=2n﹣1,
∴
=
,
∴n≥2时,
=
﹣
﹣1=﹣
∵a1=S1=1,
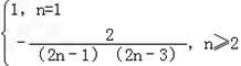
∴
=
.
(3)设F(n)=
,
则
=
∴F(n)在n∈N*上递增,要使F(n)≥k恒成立,
只需[F(n)]min≥k
∵[F(n)]min=F(1)=
,
∴0<k≤
,kmax=
∴
∴
∴
∴数列{
(2)解:由(1)知
∴
∴n≥2时,
∵a1=S1=1,
∴
(3)设F(n)=
则
∴F(n)在n∈N*上递增,要使F(n)≥k恒成立,
只需[F(n)]min≥k
∵[F(n)]min=F(1)=
∴0<k≤
练习册系列答案
相关题目