题目内容
y=4x2的焦点坐标为 .
【答案】分析:把y=4x2,化为
,可得
,即可得到焦点坐标.
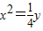
解答:解:∵y=4x2,∴
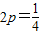
,∴
,解得
.
因此抛物线的焦点为
.
故答案为
.
点评:熟练掌握抛物线的标准方程及其性质是解题的关键.
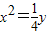
解答:解:∵y=4x2,∴
因此抛物线的焦点为
故答案为
点评:熟练掌握抛物线的标准方程及其性质是解题的关键.
练习册系列答案
相关题目
抛物线y=-4x2的焦点坐标是( )
| A、(0,1) | ||
B、(0,
| ||
C、(0,-
| ||
| D、(0,-1) |