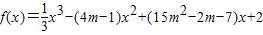
题目内容
已知函数A.m<-4或m>-2
B.-4<m<-2
C.2<m<4
D.m<2或m>4
【答案】分析:先对f(x)求导,再运用函数是增函数导数大于0的性质求解.
在求解过程中要考虑到与二次函数图象性质的结合问题.
解答:解:
对
求导,得
f′(x)=x2-2(4m-1)x+(15m2-2m-7)
已知函数
在(-∞,+∞)上是增函数
故f′(x)>0
即求使x2-2(4m-1)x+(15m2-2m-7)>0的m的取值范围
可以看出函数开口向上,使△<0即可
对[-2(4m-1)]2-4(15m2-2m-7)<0求解,得
2<m<4
故选C
点评:将函数是增函数的条件与二次函数图象性质有机结合在一起,提高学生的综合运用能力.
在求解过程中要考虑到与二次函数图象性质的结合问题.
解答:解:
对
f′(x)=x2-2(4m-1)x+(15m2-2m-7)
已知函数
故f′(x)>0
即求使x2-2(4m-1)x+(15m2-2m-7)>0的m的取值范围
可以看出函数开口向上,使△<0即可
对[-2(4m-1)]2-4(15m2-2m-7)<0求解,得
2<m<4
故选C
点评:将函数是增函数的条件与二次函数图象性质有机结合在一起,提高学生的综合运用能力.
练习册系列答案
相关题目