搜索
题目内容
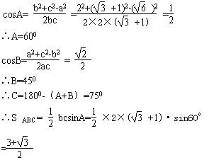
在△ABC中,
,求A、B、C及S
△AB
试题答案
相关练习册答案
解析:
练习册系列答案
名校课堂系列答案
西城学科专项测试系列答案
小考必做系列答案
小考实战系列答案
小考复习精要系列答案
小考总动员系列答案
小升初必备冲刺48天系列答案
68所名校图书小升初高分夺冠真卷系列答案
伴你成长周周练月月测系列答案
小升初金卷导练系列答案
相关题目
在△ABC中,三内角A、B、C所对边分别为a、b、c,设向量
m
=(b,c-2a),
n
=(cosC,cosB),且
m
⊥
n
(1) 求角B的大小;
(2) 已知a+c=5,b=
7
,求△ABC的面积.
在△ABC中,已知A(1,1),AC边上的高线所在直线方程为x-2y=0,AB边上的高线所在直线方程为3x+2y-3=0.求BC边所在直线方程.
在△ABC中,已知
a=3
3
,c=2,B=30°,求边b的长及△ABC的面积S.
已知函数
f(x)=sin(
π
2
+x)cos(-x)+4sin
x
2
co
s
3
x
2
-sinx
,
(Ⅰ)求函数f(x)在
x∈[0,
π
2
]
上的值域;
(Ⅱ)在△ABC中,已知A为锐角,f(A)=1,BC=2,S
△ABC
=1,求AC边的长.
关 闭
试题分类
高中
数学
英语
物理
化学
生物
地理
初中
数学
英语
物理
化学
生物
地理
小学
数学
英语
其他
阅读理解答案
已回答习题
未回答习题
题目汇总
试卷汇总
练习册解析答案