题目内容
抛物线y2=-4x上有一点P,P到椭圆A.
B.2+
C.
D.
【答案】分析:根据题意可得 PA=
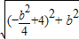
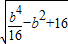
=
,故当 b2=8时,PA有最小值.
解答:解:设点P(-
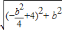
,b),由于椭圆的左顶点为A(-4,0 ),则 PA=
=
,∴当 b2=8时,PA最小值为
=2
,
故选A.
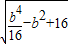
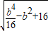
点评:本题考查椭圆的标准方程,以及简单性质的应用,两点间的距离公式,二次函数的性质,得到 PA=
,是解题的关键.
解答:解:设点P(-
=
故选A.
点评:本题考查椭圆的标准方程,以及简单性质的应用,两点间的距离公式,二次函数的性质,得到 PA=
练习册系列答案
相关题目
已知直线l1:4x-3y+6=0和直线l2:x=-1,抛物线y2=4x上一动点P到直线l1和直线l2的距离之和的最小值是( )
| A、2 | ||
| B、3 | ||
C、
| ||
D、
|