题目内容
数列{an}满足:a1=1,an+1=(1)写出a2,a3,a4.
(2)求数列{an}的通项公式.
【答案】分析:(1)通过a1=1,an+1=
an+1.利用n=2,3,4,即可求出a2,a3,a4.
(2)解法一:通过(1)猜想数列的通项公式,然后利用数学归纳法证明;
解法二:构造{bn}是以b1=-1,
为公比的等比数列,求出bn然后求数列{an}的通项公式.
解答:解:(1)因为
,
所以
,
,
.-------------------(3分)
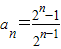
(2)解法一:猜想:
.下面用数学归纳法证明,
证明:(1)当n=1时,
,满足上式,显然成立;-------------------(4分)
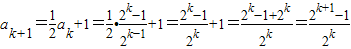
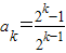
(2)假设当n=k时
,那么当n=k+1时,
满足上式,
即当n=k+1时猜想也成立.-------------------(7分)
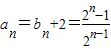
由(1)(2)可知,对于n∈n*都有
.------------------(8分)
解法二:因为
,所以
,即
,-------(4分)
设bn=an-2,则
,即{bn}是以b1=-1,
为公比的等比数列,
所以
,------------------(7分)
所以
.-----------------(8分)
点评:本题考查数列的递推关系式的应用,数列通项公式的求法,猜想必须利用数学归纳法证明.
(2)解法一:通过(1)猜想数列的通项公式,然后利用数学归纳法证明;
解法二:构造{bn}是以b1=-1,
解答:解:(1)因为
所以
(2)解法一:猜想:
证明:(1)当n=1时,
(2)假设当n=k时
即当n=k+1时猜想也成立.-------------------(7分)
由(1)(2)可知,对于n∈n*都有
解法二:因为
设bn=an-2,则
所以
所以
点评:本题考查数列的递推关系式的应用,数列通项公式的求法,猜想必须利用数学归纳法证明.
练习册系列答案
相关题目