题目内容
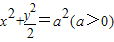
若椭圆A.
B.
C.
D.
【答案】分析:因为椭圆
和连接A(1,1)、B(2,3)两点的线段没有公共点,所以A、B都在椭圆内或A、B都在椭圆外,可得到关于a的不等式组,解不等式组就可求出a的取值范围.
解答:解:∵椭圆
和连接A(1,1)、B(2,3)两点的线段没有公共点,
∴A、B都在椭圆内或A、B都在椭圆外
当点A、B都在椭圆内,则
解得a>
当点A、B都在椭圆外,则
解得0<a<
∴实数a的取值范围是
故选D
点评:本题主要考查直线与椭圆位置关系的判断,以及由此求参数的取值范围
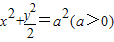
解答:解:∵椭圆
∴A、B都在椭圆内或A、B都在椭圆外
当点A、B都在椭圆内,则
当点A、B都在椭圆外,则
∴实数a的取值范围是
故选D
点评:本题主要考查直线与椭圆位置关系的判断,以及由此求参数的取值范围
练习册系列答案
相关题目