题目内容
给出下面的数表序列:
其中表n(n=1,2,3,…)有n行,第1行的n个数是1,3,5,…,2n-1,从第2行起,每行中的每个数都等于它肩上的两数之和.
(Ⅰ)写出表4,验证表4各行中的数的平均数按从上到下的顺序构成等比数列,并将结论推广到表n(n≥3)(不要求证明);
(Ⅱ)每个数表中最后一行都只有一个数,它们构成数列1,4,12,…,记此数列为{bn},求和:
。
(Ⅰ)写出表4,验证表4各行中的数的平均数按从上到下的顺序构成等比数列,并将结论推广到表n(n≥3)(不要求证明);
(Ⅱ)每个数表中最后一行都只有一个数,它们构成数列1,4,12,…,记此数列为{bn},求和:
解:(Ⅰ)表4为
,
它的第1,2,3,4行中的数的平均数分别是4,8,16,32,它们构成首项为4,公比为2的等比数列,
将这一结论推广到表n(n≥3),即表n(n≥3)各行中的数的平均数按从上到下的顺序构成首项为n,公比为2的等比数列,
简证如下(对考生不作要求)
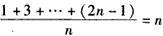
首先,表n(n≥3)的第1行1,3,5,…,2n-1是等差数列,其平均数为
,
其次,若表n的第k(1≤k≤n-1)行a1,a2,…,an-k+1是等差数列,则它的第k+l行a1+a2,a2+a3,…,an-k+an-k+1也是等差数列.由等差数列的性质知,表n的第k行中的数的平均数与第k+1行中的数的平均数分别是
,
由此可知,表n(n≥3)各行中的数都成等差数列,且各行中的数的平均数按从上到下的顺序构成首项为n,公比为2的等比数列.
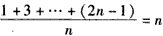
(Ⅱ)表n的第1行是1,3,5,…,2n-1,其平均数是
,
由(Ⅰ)知,它的各行中的数的平均数按从上到下的顺序构成首项为n,公比为2的等比数列(从而它的第k行中的数的平均数是n·2k-1),
于是,表n中最后一行的唯一一个数为bn=n·2n-1,
因此,
,
故



。
它的第1,2,3,4行中的数的平均数分别是4,8,16,32,它们构成首项为4,公比为2的等比数列,
将这一结论推广到表n(n≥3),即表n(n≥3)各行中的数的平均数按从上到下的顺序构成首项为n,公比为2的等比数列,
简证如下(对考生不作要求)
首先,表n(n≥3)的第1行1,3,5,…,2n-1是等差数列,其平均数为
其次,若表n的第k(1≤k≤n-1)行a1,a2,…,an-k+1是等差数列,则它的第k+l行a1+a2,a2+a3,…,an-k+an-k+1也是等差数列.由等差数列的性质知,表n的第k行中的数的平均数与第k+1行中的数的平均数分别是
由此可知,表n(n≥3)各行中的数都成等差数列,且各行中的数的平均数按从上到下的顺序构成首项为n,公比为2的等比数列.
(Ⅱ)表n的第1行是1,3,5,…,2n-1,其平均数是
由(Ⅰ)知,它的各行中的数的平均数按从上到下的顺序构成首项为n,公比为2的等比数列(从而它的第k行中的数的平均数是n·2k-1),
于是,表n中最后一行的唯一一个数为bn=n·2n-1,
因此,
故
练习册系列答案
相关题目