题目内容
已知A.
B.
C.
D.
【答案】分析:根据右焦点F2也是拋物线C:y2=4x的焦点,且|AF2|=
,可求出F2,根据抛物线的定义可求得点A的横坐标,并代入抛物线方程,可求其纵坐标;把点A代入椭圆方程,以及焦点坐标,解方程即可求得椭圆的方程.
解答:解:依题意知F2(1,0),设A(x1,y1).
由抛物线定义得1+x1=
,
即x1=
.
将x1=
代入抛物线方程得y1=
(2分),
进而由
及a2-b2=1,
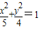
解得a2=4,b2=3.故椭圆的方程为
.
故选A.
点评:此题是个基础题.考查抛物线的定义和简单的几何性质,待定系数法求椭圆的标准方程.
解答:解:依题意知F2(1,0),设A(x1,y1).
由抛物线定义得1+x1=
即x1=
将x1=
进而由
解得a2=4,b2=3.故椭圆的方程为
故选A.
点评:此题是个基础题.考查抛物线的定义和简单的几何性质,待定系数法求椭圆的标准方程.
练习册系列答案
相关题目