题目内容

设函数f(x)=2cos2x+sin2x+a(a∈R).

(1)求函数f(x)的最小正周期;

(2)当x∈[0,]时,f(x)的最大值为2,求a的值.

 

【答案】

(1);(2).

【解析】

试题分析:(1)求解三角函数的问题,一般都是把函数化为的形式,本题先用降幂公式把化为,这与就变为同角问题,然后利用两角和的正弦公式变形即可.(2)由于,故我们把作为整体,直接利用的性质解决问题.这也是这类问题的通用解法.

试题解析:(1)

           4分

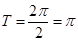
的最小正周期.                              6分

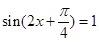
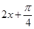
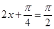
(2)当,                            8分

时,.                                   10分

所以.                        12分

考点:(1)三角函数的周期;(2)三角函数在给定区间上的最值问题.

 

练习册系列答案
相关题目

违法和不良信息举报电话:027-86699610 举报邮箱:58377363@163.com

精英家教网