搜索
题目内容
将下列三个函数:
,
,
的图象通过左右平移后得到的图象所对应的函数可以是奇函数的个数有 ( )
个
个
个
个
试题答案
相关练习册答案
B
练习册系列答案
课课练与单元测试系列答案
世纪金榜小博士单元期末一卷通系列答案
单元测试AB卷台海出版社系列答案
黄冈新思维培优考王单元加期末卷系列答案
名校名师夺冠金卷系列答案
小学英语课时练系列答案
培优新帮手系列答案
天天向上一本好卷系列答案
小学生10分钟应用题系列答案
课堂作业广西教育出版社系列答案
相关题目
关于函数
f(x)=sinx(cosx-sinx)+
1
2
,给出下列三个命题:
(1)函数f(x)在区间
[
π
2
,
5π
8
]
上是减函数;
(2)直线
x=
π
8
是函数f(x)的图象的一条对称轴;
(3)函数f(x)的图象可以由函数
y=
2
2
sin2x
的图象向左平移
π
4
而得到.
其中正确的命题序号是
.(将你认为正确的命题序号都填上)
设y=f(x)是定义在R上的函数,给定下列三个条件:
(1)y=f(x)是偶函数;
(2)y=f(x)的图象关于直线x=1对称;
(3)T=2为y=f(x)的一个周期.
如果将上面(1)、(2)、(3)中的任意两个作为条件,余下一个作为结论,那么构成的三个命题中真命题的个数有
3
3
个.
下列三个命题中:
①“α=β”是“cosα=cosβ”的充要条件;
②“a=3”是“直线ax+2y=2与直线2x+a(a-4)y+3=0相互垂直”的充要条件;
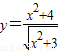
③函数
y=
x
2
+4
x
2
+3
的最小值为2;
其中假命题的为
①②③
①②③
将你认为是假命题的序号都填上)
下列三个命题中:
①“α=β”是“cosα=cosβ”的充要条件;
②“a=3”是“直线ax+2y=2与直线2x+a(a-4)y+3=0相互垂直”的充要条件;
③函数
的最小值为2;
其中假命题的为
将你认为是假命题的序号都填上)
关 闭
试题分类
高中
数学
英语
物理
化学
生物
地理
初中
数学
英语
物理
化学
生物
地理
小学
数学
英语
其他
阅读理解答案
已回答习题
未回答习题
题目汇总
试卷汇总
练习册解析答案