题目内容
如图所示,在四棱锥P-ABCD中,底面ABCD为矩形,PA⊥平面ABCD,点 E 在线段 PC 上,PC⊥平面BDE.(1)证明:BD⊥平面PAC;
(2)若PA=1,AD=2,求二面角B-PC-A的正切值.
【答案】分析:(1)由题设条件及图知,可先由线面垂直的性质证出PA⊥BD与PC⊥BD,再由线面垂直的判定定理证明线面垂直即可;
(2)由图可令AC与BD的交点为O,连接OE,证明出∠BEO为二面角B-PC-A的平面角,然后在其所在的三角形中解三角形即可求出二面角的正切值.
解答:解:(1)∵PA⊥平面ABCD
∴PA⊥BD
∵PC⊥平面BDE
∴PC⊥BD,又PA∩PC=P
∴BD⊥平面PAC
(2)设AC与BD交点为O,连OE
∵PC⊥平面BDE
∴PC⊥平面BOE
∴PC⊥BE
∴∠BEO为二面角B-PC-A的平面角
∵BD⊥平面PAC
∴BD⊥AC
∴四边形ABCD为正方形,又PA=1,AD=2,可得BD=AC=2
,PC=3
∴OC=
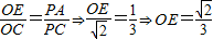
在△PAC∽△OEC中,
∴
∴二面角B-PC-A的平面角的正切值为3
点评:本题考查二面角的平面角的求法及线面垂直的判定定理与性质定理,属于立体几何中的基本题型,二面角的平面角的求法过程,作,证,求三步是求二面角的通用步骤,要熟练掌握
(2)由图可令AC与BD的交点为O,连接OE,证明出∠BEO为二面角B-PC-A的平面角,然后在其所在的三角形中解三角形即可求出二面角的正切值.
解答:解:(1)∵PA⊥平面ABCD
∴PA⊥BD
∵PC⊥平面BDE
∴PC⊥BD,又PA∩PC=P
∴BD⊥平面PAC
(2)设AC与BD交点为O,连OE
∵PC⊥平面BDE
∴PC⊥平面BOE
∴PC⊥BE
∴∠BEO为二面角B-PC-A的平面角
∵BD⊥平面PAC
∴BD⊥AC
∴四边形ABCD为正方形,又PA=1,AD=2,可得BD=AC=2
∴OC=
在△PAC∽△OEC中,
∴
∴二面角B-PC-A的平面角的正切值为3
点评:本题考查二面角的平面角的求法及线面垂直的判定定理与性质定理,属于立体几何中的基本题型,二面角的平面角的求法过程,作,证,求三步是求二面角的通用步骤,要熟练掌握
练习册系列答案
相关题目