题目内容
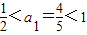
已知数列{an}中,a1=A.
B.
C.
D.
【答案】分析:利用已知得出其周期性:an+4=an.即可得出.
解答:解:∵
,∴a2=2a1-1=
=
.
∵
,∴a3=2a2-1=
.
∵
,∴
.
∵
,∴
.
….
∴an+4=an.
∴
.
故选D.
点评:通过已知计算得出其周期性是解题的关键.
解答:解:∵
∵
∵
∵
….
∴an+4=an.
∴
故选D.
点评:通过已知计算得出其周期性是解题的关键.
练习册系列答案
相关题目
已知数列{an}中,a1=1,2nan+1=(n+1)an,则数列{an}的通项公式为( )
A、
| ||
B、
| ||
C、
| ||
D、
|