搜索
题目内容
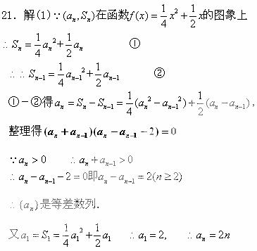
设正项数列{
}的前
项和
,对于任意
点
都在函数
的图象上.
(1)求数列{
}的通项公式;
(2)设
的前n项和为
,求
.
试题答案
相关练习册答案
(II)
练习册系列答案
小学毕业升学考试总复习系列答案
赢在阅读限时提优训练系列答案
同步解析拓展训练系列答案
星火英语SPARK系列答案
单元检测新疆电子音像出版社系列答案
新课标数学口算天天练系列答案
恒基中考备战策略系列答案
七星图书口算速算天天练系列答案
快乐小博士小考总动员系列答案
百分阅读系列答案
相关题目
设正项数列{a
n
}的前项和是S
n
,若{a
n
}和{
S
n
}都是等差数列,且公差相等,求:
(1){a
n
}的通项公式;
(2)若a
1
,a
2
,a
5
恰为等比数列{b
n
}的前三项,记数列c
n
=
c
n
=
24
b
n
(12
b
n
-1)
2
,数列{c
n
}的前n项和为T
n
,求证:对任意n∈N
*
,都有T
n
<2.
设正项数列{a
n
}的前项和为S
n
,q为非零常数.已知对任意正整数n,m,当n>m时,S
n
-S
m
=q
m
•S
n-m
总成立.
(1)求证数列{a
n
}是等比数列;
(2)若正整数n,m,k成等差数列,求证:
1
S
n
+
1
S
k
≥
2
S
m
.
(2012•眉山一模)已知正项数列{a
n
}的前项和为S
n
,且满足
2
S
n
=
a
n
+1(n∈
N
*
)
.
(Ⅰ)求证:数列{a
n
}是等差数列;
(Ⅱ)设
b
n
=
a
n+1
2
n
,
T
n
=
b
1
+
b
2
+
b
3
+…+
b
n
,求
T
n
;
(Ⅲ)设
C
n
=
1
(5-
T
n
-
5
2
n
)•
2
n
•(n+1)
,求证:
C
1
+
C
2
+
C
3
+…+
C
n
<
1
2
.
已知正项数列{a
n
}的前项和为S
n
,且满足S
n
+a
n
=1.
(1)求数列{a
n
}的通项公式;
(2)设
c
n
=
1
a
n
,则是否存在数列{b
n
},满足
b
1
c
1
+
b
2
c
2
+…+
b
n
c
n
=(2n-1)
2
n+1
+2
对一切正整数n都成立?若存在,请求出数列{b
n
}的通项公式;若不存在,请说明理由.
设正项数列{a
n
}的前项和为S
n
,q为非零常数.已知对任意正整数n,m,当n>m时,S
n
-S
m
=q
m
•S
n-m
总成立.
(1)求证数列{a
n
}是等比数列;
(2)若正整数n,m,k成等差数列,求证:
+
≥
.
关 闭
试题分类
高中
数学
英语
物理
化学
生物
地理
初中
数学
英语
物理
化学
生物
地理
小学
数学
英语
其他
阅读理解答案
已回答习题
未回答习题
题目汇总
试卷汇总
练习册解析答案