题目内容
(1)设,求函数的最大值
(2)已知x>0,y>0,x+y=1求的最小值
(本小题满分12分)已知函数,其中为自然对数的底数,。(1)设,求函数的最值;(2)若对于任意的,都有成立,求的取值范围。
函数,,(1)当时,求函数的最大值;(2)设,且在上恒成立,求实数的取值范围.
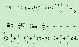
(1)设,求函数的最大值;(2)已知x、y都是正实数,且,求的最小值.
(1)设,求函数的最大值;
(2)已知x、y都是正实数,且,求的最小值.
(本小题满分12分)
已知函数 在上是增函数.
(1)求实数的取值范围;
(2)设,求函数的最小值.