题目内容
在数列{an}中,a1=-(1)证明数列{an+n}是等比数列;
(2)求数列{an}的前n项和sn;
(3)比较Sn+1与2Sn(n∈N*)的大小,并说明理由.
【答案】分析:(1)通过数列的递推关系式,构造新数列,即可证得等比数列;
(2)确定数列的通项公式,利用分组求和,即可求得结论;
(3)作差,分类讨论,确定正负,即可得到结论.
解答:(1)证明:因为an+1=2an+n-1(n∈N*),所以an+1+(n+1)=2(an+n)(n∈N*),
所以数列{an+n}是以a1+1=
为首项,2为公比的等比数列;
(2)解:∵数列{an+n}是以a1+1=
为首项,2为公比的等比数列
∴an+n=
×2n-1=2n-2,即an=2n-2-n,
∴数列{an}的前n项和为Sn=
-
=
;
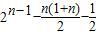
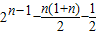
(3)解:对任意的n∈N*,Sn+1-2Sn=
-2[
]=
当n∈N*时,
是增函数,
n=1时,
=-
<0,即Sn+1-2Sn<0,所以Sn+1<2Sn;
n=2时,
=
>0,即Sn+1-2Sn>0,所以Sn+1>2Sn;
n>2时,
>
>0,即Sn+1-2Sn>0,所以Sn+1>2Sn;
综上,当n=1时,Sn+1<2Sn;当n≥2时,Sn+1>2Sn.
点评:本题考查数列递推式,考查数列的通项与求和,考查大小比较,考查学生的计算能力,属于中档题.
(2)确定数列的通项公式,利用分组求和,即可求得结论;
(3)作差,分类讨论,确定正负,即可得到结论.
解答:(1)证明:因为an+1=2an+n-1(n∈N*),所以an+1+(n+1)=2(an+n)(n∈N*),
所以数列{an+n}是以a1+1=
(2)解:∵数列{an+n}是以a1+1=
∴an+n=
∴数列{an}的前n项和为Sn=
(3)解:对任意的n∈N*,Sn+1-2Sn=
当n∈N*时,
n=1时,
n=2时,
n>2时,
综上,当n=1时,Sn+1<2Sn;当n≥2时,Sn+1>2Sn.
点评:本题考查数列递推式,考查数列的通项与求和,考查大小比较,考查学生的计算能力,属于中档题.
练习册系列答案
相关题目