题目内容
(12分)设函数
是定义在正实数集上的减函数,并且满足
,
,
(Ⅰ).求
的值, (Ⅱ).如果
,求x的取值范围。
答案
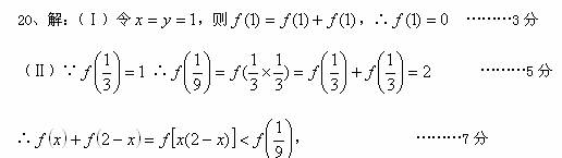
![]()
又由
是定义在正实数集上的减函数,得:
………10分
解之得:
。 ………12分
练习册系列答案
相关题目
题目内容
(12分)设函数
是定义在正实数集上的减函数,并且满足
,
,
(Ⅰ).求
的值, (Ⅱ).如果
,求x的取值范围。
答案
![]()
又由
是定义在正实数集上的减函数,得:
………10分
解之得:
。 ………12分