题目内容
已知函数f(x)=x2+(Ⅰ)判断f(x)的奇偶性(直接写出你的结论)
(Ⅱ)若f(x)在[2,+∞)是增函数,求实数a的范围.
【答案】分析:(I)由题意已知函数
,计算f(-x)与f(x)的关系,然后进行判断;
(II)求f(x)的导数,因为f(x)在[2,+∞)是增函数,所以f′(x)≥0在[2,+∞]上恒成立,从而求出a的范围;
解答:解:(1)当a=0时,f(x)为偶函数;
当a≠0时,f(x)为非奇非偶函数.
(2)f′(x)=2x-
依题意,f′(x)=2x-
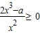
=
在[2,+∞]上恒成立,
即a≤2x3在[2,+∞]上恒成立.
只需a≤(2x3)min
而x=2时,(2x3)min=16,故a≤16.
点评:此题考查函数的单调性与导数的关系,若f′(x)大于0,则f(x)为增函数;若f′(x)<0,则f(x)为减函数.
(II)求f(x)的导数,因为f(x)在[2,+∞)是增函数,所以f′(x)≥0在[2,+∞]上恒成立,从而求出a的范围;
解答:解:(1)当a=0时,f(x)为偶函数;
当a≠0时,f(x)为非奇非偶函数.
(2)f′(x)=2x-
依题意,f′(x)=2x-
即a≤2x3在[2,+∞]上恒成立.
只需a≤(2x3)min
而x=2时,(2x3)min=16,故a≤16.
点评:此题考查函数的单调性与导数的关系,若f′(x)大于0,则f(x)为增函数;若f′(x)<0,则f(x)为减函数.
练习册系列答案
相关题目
| π |
| 2 |
A、f(x)=2sin(πx+
| ||
B、f(x)=2sin(2πx+
| ||
C、f(x)=2sin(πx+
| ||
D、f(x)=2sin(2πx+
|