搜索
题目内容
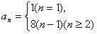
已知数列{a
n
}中,a
1
=1,其前n项和s
n
满足
,则a
n
=( )。
试题答案
相关练习册答案
或a
n
=
练习册系列答案
考纲强化阅读系列答案
课内外古诗文阅读特训系列答案
课内外文言文系列答案
古诗文高效导学系列答案
古诗文夯基与积累系列答案
古诗文系统化教与学系列答案
课外古诗文阅读系列答案
初中课外文言文延边大学出版社系列答案
海豚图书课外现代文阅读系列答案
初中生必做的阅读理解与完形填空系列答案
相关题目
已知数列{a
n
}中,
a
1
=1,
a
n+1
-
a
n
=
1
3
n+1
(n∈N*)
,则
lim
n→∞
a
n
=
.
已知数列{a
n
}中,a
1
=1,a
n+1
=
a
n
1+2
a
n
,则{a
n
}的通项公式a
n
=
1
2n-1
1
2n-1
.
已知数列{a
n
}中,a
1
=1,
a
1
+2
a
2
+3
a
3
+…+n
a
n
=
n+1
2
a
n+1
(n∈
N
*
)
.
(1)求数列{a
n
}的通项公式;
(2)求数列
{
2
n
a
n
}
的前n项和T
n
.
已知数列
{
a
n
}中,
a
1
=
1
2
,
S
n
为数列的前n项和,且S
n
与
1
a
n
的一个等比中项为n(n∈
N
*
),则
lim
n→∞
S
n
=
1
1
.
已知数列{a
n
}中,a
1
=1,2na
n+1
=(n+1)a
n
,则数列{a
n
}的通项公式为( )
A、
n
2
n
B、
n
2
n-1
C、
n
2
n
-1
D、
n+1
2
n
关 闭
试题分类
高中
数学
英语
物理
化学
生物
地理
初中
数学
英语
物理
化学
生物
地理
小学
数学
英语
其他
阅读理解答案
已回答习题
未回答习题
题目汇总
试卷汇总
练习册解析答案