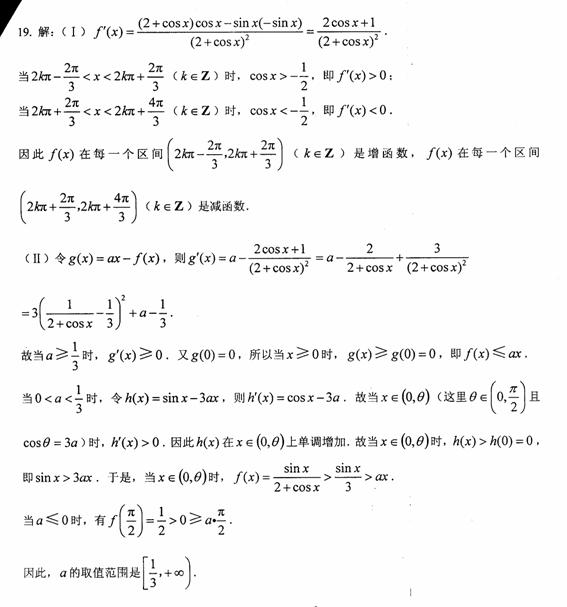
题目内容
设函数.
(Ⅰ)求的单调区间;
(Ⅱ)如果对任何,都有,求的取值范围.
设函数
(Ⅰ)当时,求的单调区间;
(Ⅱ)若当时,恒成立,求的取值范围.
(1)若,
①求的值;
②的最小值。
(参考数据)
(2) 当上是单调函数,求的取值范围。
(本小题满分12分)
(Ⅰ)当时,求的最大值;
(Ⅱ)令,(),其图象上任意一点处切线的斜率≤恒成立,求实数的取值范围;
(本小题12分)设函数,
(I)求的最小正周期以及单调增区间;
(II)当时,求的值域;
(Ⅲ)若,求的值.
(14分)设函数。
(1)求的单调区间;
(2)若,不等式恒成立,求实数m的取值范围;
(3)若方程在区间[0, 2] 恰有两个不等实根,求a的取值范围。