题目内容
在数列{an}中,a1=1,an+1=
-an+2(n=1,2,3,…)。
(Ⅰ)求a2,a3;
(Ⅱ)证明:1≤an<2;
(Ⅲ)试用an+1表示
,并证明你的结论。
(Ⅰ)求a2,a3;
(Ⅱ)证明:1≤an<2;
(Ⅲ)试用an+1表示
解:(Ⅰ)因为a1=1,an+1=
,
所以![]()
;
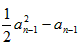
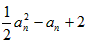
(Ⅱ)证明:当n≥2时, ![]()
所以an>1,
因为an-2=![]()
![]()
![]()
…
<0,
所以an<2,
因为a1=1,
所以1≤an<2;
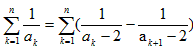
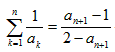
(Ⅲ)
,证明如下:
由an+1=
,
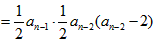
得an+1-2=![]()
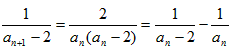
所以![]()
从而
,
所以![]()
![]()
![]()
所以
。
练习册系列答案
相关题目