题目内容

已知函数.

(1)求不等式的解集;

(2)若关于的不等式上恒成立,求实数的取值范围.

 

【答案】

(1);(2).

【解析】

试题分析:本题考查绝对值不等式的解法和不等式的恒成立问题,考查学生的分类讨论思想和转化能力.第一问,利用零点分段法进行求解;第二问,利用绝对值的运算性质求出最小值证明恒成立问题.

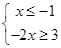
试题解析: (1)原不等式等价于

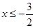
解得

∴不等式的解集为.(5分)

(2)依题意得:关于的不等式上恒成立,

,即,解得

∴实数的取值范围是.(10分)

考点:1.绝对值不等式的解法;2.恒成立问题;3.绝对值的运算性质.

 

练习册系列答案
相关题目

违法和不良信息举报电话:027-86699610 举报邮箱:58377363@163.com

精英家教网