搜索
题目内容
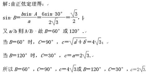
在△
ABC
中,已知
a
=2
,
b
=6,
A
=30°,解三角形.
试题答案
相关练习册答案
解析
练习册系列答案
全优课程达标快乐英语1加1系列答案
世超金典三维达标自测卷系列答案
一线名师提优作业本加期末总复习系列答案
同步训练内蒙古大学出版社系列答案
智慧测评高中新课标同步导学系列答案
新梦想导学练系列答案
中考零距离系列答案
中华活页文选初中文言文精讲精练系列答案
自能导学系列答案
中考制高点系列答案
相关题目
在△ABC中,已知A、B、C成等差数列,求tg(
A
2
)+
3
tg(
A
2
)tg(
C
2
)+tg(
C
2
)的值.
在△ABC中,已知A=45°,a=2,b=
2
,则B等于( )
A.30°
B.60°
C.150°
D.30°或150°
在△ABC中,已知a=
3
,b=
2
,1+2cos(B+C)=0,求:
(1)角A,B;
(2)求BC边上的高.
在△ABC中,已知A=60°,
AB
•
AC
=1,则△ABC的面积为
3
2
3
2
.
在△ABC中,已知a=1,b=2,
cosC=
3
4
.
(1)求AB的长;
(2)求sinA的值.
关 闭
试题分类
高中
数学
英语
物理
化学
生物
地理
初中
数学
英语
物理
化学
生物
地理
小学
数学
英语
其他
阅读理解答案
已回答习题
未回答习题
题目汇总
试卷汇总
练习册解析答案