题目内容
(本题满分14分)在△ABC中,a,b,c分别为角A、B、C的对边,
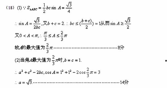
(1)求A的最大值; (2)当角A最大时,求a.
解析
(本题满分14分)
在平面直角坐标系中,已知向量(),,动点的轨迹为T.
(1)求轨迹T的方程,并说明该方程表示的曲线的形状;
(2)当时,已知、,试探究是否存在这样的点: 是轨迹T内部的整点(平面内横、纵坐标均为整数的点称为整点),且△OEQ的面积?若存在,求出点Q的坐标,若不存在,说明理由.
(本题满分14分)在平面直角坐标系中,已知圆,圆.(Ⅰ)若过点的直线被圆截得的弦长为,求直线的方程;(Ⅱ)圆是以1为半径,圆心在圆:上移动的动圆 ,若圆上任意一点分别作圆 的两条切线,切点为,求的取值范围 ;(Ⅲ)若动圆同时平分圆的周长、圆的周长,如图所示,则动圆是否经过定点?若经过,求出定点的坐标;若不经过,请说明理由.
(本题满分14分)
在中,角、、所对应的边分别为、、,且满足
(1)若,求实数的值。
(2)若,求的值.
.(本题满分14分)
在棱长为的正方体中,
是线段的中点,底面ABCD的中心是F.
(1) 求证:^;
(2) 求证:∥平面;
(3) 求三棱锥的体积。
(本题满分14分)在直角坐标系xOy中,椭圆C1:的左、右焦点分别为F1、F2.F2也是抛物线C2:的焦点,点M为C1与C2在第一象限的交点,且.
(Ⅰ)求C1的方程;
(Ⅱ)平面上的点N满足,直线l∥MN,且与C1交于A、B两点,若·=0,求直线l的方程.