题目内容
已知数列{an}的前n项和,那么它的通项公式为an=_________
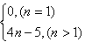
已知数列{an}的前n项和,那么它的通项公式为an=_________ .
已知数列{an}的前n项和是, 则数列的通项an=
已知数列{an}的前n项和sn满足sn=2n+1-1,求它的通项公式