题目内容
是否存在常数k和等差数列{an},使kan2-1=S2n-Sn+1恒成立,其中Sn为{an}的前n项和?若存在,试求出常数k和数列{an}的通项;若不存在,试说明理由。
解:设存在常数k和等差数列{an}满足条件,
令an=pn+q(p,q为常数),
则
,
,
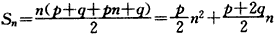
∴S2n-Sn+1

,
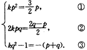
由题设
,
得
,
上式对n∈N+恒成立,因而有

由①知,p=0或
,
若p=0,由②得q=0,不合题意,
∴p≠0,将
代入②,得
,
代入③,得
,
∴存在常数
及等差数列{an}满足条件,{an}的通项公式为
。
令an=pn+q(p,q为常数),
则
∴S2n-Sn+1
由题设
得
上式对n∈N+恒成立,因而有
由①知,p=0或
若p=0,由②得q=0,不合题意,
∴p≠0,将
代入③,得
∴存在常数
练习册系列答案
相关题目