题目内容
函数f(x)=A.
B.
C.
D.
【答案】分析:f(x)中含有|x|,故f(x)是分段函数,根据x的正负写出分段函数的解析式,对照图象选择即可.
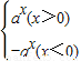
解答:解:f(x)是分段函数,根据x的正负写出分段函数的解析式,f(x)=
,
∴x>0时,图象与y=ax在第一象限的图象一样,x<0时,图象与y=ax的图象关于x轴对称,
故选B.
点评:本题考查识图问题,利用特值或转化为比较熟悉的函数,利用图象变换或利用函数的性质是识图问题常用的方法.
解答:解:f(x)是分段函数,根据x的正负写出分段函数的解析式,f(x)=
∴x>0时,图象与y=ax在第一象限的图象一样,x<0时,图象与y=ax的图象关于x轴对称,
故选B.
点评:本题考查识图问题,利用特值或转化为比较熟悉的函数,利用图象变换或利用函数的性质是识图问题常用的方法.
练习册系列答案
相关题目