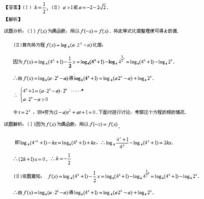
题目内容
已知函数为偶函数.
(Ⅰ) 求的值;
(Ⅱ) 若方程有且只有一个根, 求实数的取值范围.
已知函数为偶函数高 考 资 源 网()其图像与直线y=2的某两个交点横坐标为,若的最小值为π,则( )
ks5uA B C D
已知函数为偶函数,且其图象上相邻两个最大值点之间的距离为。
(1)求函数的表达式。(2)若,求的值。
(本小题满分10分)
已知函数为偶函数,且其图象上相邻两对称轴之间的距离为.
(I)求函数的表达式。
(II)若,求的值.