题目内容

如图,在底角为的等腰梯形中,已知分别为的中点.设.

(1)试用表示

(2)若,试求的值.

 

【答案】

(1) ; (2).

【解析】

试题分析:(1) 利用平面向量的加法和减法的运算法则进行计算,用已知量表示未知量,注意向量的方向的变化;(2)要求,就要找到向量的模及其数量积,先求出向量的模,再根据向量的性质进行计算.

试题解析:(1)因为分别为的中点,

所以;                     3分

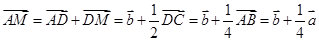
.        6分

(2), ,所以,                8分

那么.    12分

考点:1、平面向量的模及数量积;2、平面向量的加减混合运算.

 

练习册系列答案
相关题目

违法和不良信息举报电话:027-86699610 举报邮箱:58377363@163.com

精英家教网