题目内容

在数列{an}中,an=4n-,a1+a2+…+aa=an2+bn,n∈N*,其中a,b为常数,则ab=   
【答案】分析:由题意可知,数列{an}为等差数列,故根据等差数列的前n项和公式可得sn的表达式,又已知a1+a2+…+aa=an2+bn,利用对应系数相等进行求解.
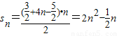
解答:解:∵an=4n-
∴数列{an}为等差数列,a1=,d=4,


∴ab=-1.
故答案为-1.
点评:本题考查等差数列的前n项和公式,熟练应用公式是准确解题的关键.
练习册系列答案
相关题目

违法和不良信息举报电话:027-86699610 举报邮箱:58377363@163.com

精英家教网