题目内容
设等差数列{an}的前n项和为Sn,Sm-1=-2,Sm=0,Sm+1=3,则m= ( )
A、3 B、4 C、5 D、6
【答案】
C;
【解析】
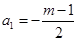
,故
;因为
,故
,故
,因为
,故
,即
.
【考点定位】本题考查等差数列的基本公式,考查学生的化归与转化能力.
练习册系列答案
相关题目
题目内容
设等差数列{an}的前n项和为Sn,Sm-1=-2,Sm=0,Sm+1=3,则m= ( )
A、3 B、4 C、5 D、6
C;
【解析】
,故
;因为
,故
,故
,因为
,故
,即
.
【考点定位】本题考查等差数列的基本公式,考查学生的化归与转化能力.