题目内容
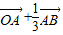
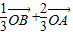
如图,设点P、Q是线段AB的三等分点,若A.-
B.
C.
D.
【答案】分析:由已知
=a,
=b,及向量加法的三角形法可得
=
=
=
,把已知代入可求.
解答:解:∵
=a,
=b,
由向量加法的三角形法则可得
=
=
=
=
故选B.
点评:本题主要注意灵活应用向量加法,减法的三角形法则及向量共线定理,灵活利用向量的知识是解决本题的关键.
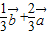
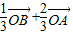
解答:解:∵
由向量加法的三角形法则可得
=
=
=
故选B.
点评:本题主要注意灵活应用向量加法,减法的三角形法则及向量共线定理,灵活利用向量的知识是解决本题的关键.
练习册系列答案
相关题目
在平面向量中有如下定理:设点O,P,Q,R为同一平面内的点,则P、Q、R三点共线的充要条件是:存在实数t,使
.试利用该定理解答下列问题:如图,
在ΔABC中,点E为AB边的中点,点F在AC边上,且CF=2FA,BF交CE于点M,设
,则x+y= .