题目内容
若A={x|ax2-ax+1<0}=∅,则实数a的集合是 .
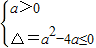
【答案】分析:对二次项系数a进行讨论:(1)当a=0时,解集A=∅,符合题意;(2)当a≠0时,必有
,解得0<a≤4,综合可得答案.
解答:解:(1)当a=0时,不等式可得化为1<0,解集A=∅,符合题意;
(2)当a≠0时,必有
,解得0<a≤4,
综合(1)(2)可得:0≤a≤4,
故答案为:{a|0≤a≤4}
点评:本题考查一元二次不等式的解法,涉及分类讨论的思想,属基础题.
解答:解:(1)当a=0时,不等式可得化为1<0,解集A=∅,符合题意;
(2)当a≠0时,必有
综合(1)(2)可得:0≤a≤4,
故答案为:{a|0≤a≤4}
点评:本题考查一元二次不等式的解法,涉及分类讨论的思想,属基础题.
练习册系列答案
相关题目