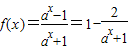
题目内容
已知函数(1)判断函数f(x)的奇偶性;
(2)证明f(x)在(-∞,+∞)上是增函数.
【答案】分析:(1)利用奇函数的定义,验证f(-x)=-f(x)即可;
(2)根据单调性的证题步骤:取值、作差、变形定号、下结论,即可证得.
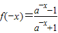
解答:(1)解:函数的定义域为R
∵
=
=-f(x)
∴函数f(x)是奇函数;
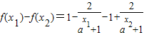
(2)证明:
在(-∞,+∞)上任取x1,x2,且x1<x2,则
=
∵x1<x2,a>1,∴
∴
∴f(x1)-f(x2)<0
∴f(x)在(-∞,+∞)上是增函数.
点评:本题考查函数的奇偶性与单调性,考查学生的计算能力,属于中档题.
(2)根据单调性的证题步骤:取值、作差、变形定号、下结论,即可证得.
解答:(1)解:函数的定义域为R
∵
∴函数f(x)是奇函数;
(2)证明:
在(-∞,+∞)上任取x1,x2,且x1<x2,则
∵x1<x2,a>1,∴
∴
∴f(x1)-f(x2)<0
∴f(x)在(-∞,+∞)上是增函数.
点评:本题考查函数的奇偶性与单调性,考查学生的计算能力,属于中档题.
练习册系列答案
相关题目