题目内容

椭圆C的焦点在轴上,焦距为2,直线n:x-y-1=0与椭圆C交于A、B两点,F1是左焦点,且,则椭圆C的标准方程是        

 

【答案】

【解析】

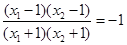
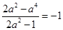
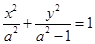
试题分析:这题考查标准方程,实质上是直线与椭圆相交问题,解决问题的方法是高椭圆方程为(因为由已知),同时高告诉我们

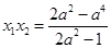
,化简为又在哪里出现呢?把直线代入椭圆方程并化简得就是这个方程的两根,故,由此我们可得,解得,故得椭圆方程.

考点:椭圆标准方程,直线与椭圆相交.

 

练习册系列答案
相关题目

违法和不良信息举报电话:027-86699610 举报邮箱:58377363@163.com

精英家教网