题目内容
已知函数(1)判断f(x)的奇偶性并给予证明;
(2)求满足f(x)≥0的实数x的取值范围.
【答案】分析:(1)确定函数的定义域,将函数化简,利用奇函数的定义可得结论;
(2)分类给出不等式,即可求得实数x的取值范围.
解答:解:(1)函数为奇函数;
函数的定义域为(-2,0)∪(0,2),函数可化为
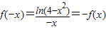
∵
,
∴f(x)是奇函数
(2)∵f(x)≥0,∴
或
,解得
或
.
点评:本题考查函数的奇偶性,考查解不等式,考查学生的计算能力,属于基础题.
(2)分类给出不等式,即可求得实数x的取值范围.
解答:解:(1)函数为奇函数;
函数的定义域为(-2,0)∪(0,2),函数可化为
∵
∴f(x)是奇函数
(2)∵f(x)≥0,∴
点评:本题考查函数的奇偶性,考查解不等式,考查学生的计算能力,属于基础题.
练习册系列答案
相关题目