题目内容

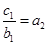
已知等差数列{}的首项a1=1,公差d>0,且分别是等比数列{}的b2,b3,b4

(I)求数列{}与{{}的通项公式;

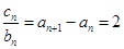
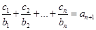
(Ⅱ)设数列{}对任意自然数n均有成立,求的值.

 

【答案】

(I);(II).

【解析】

试题分析:(I)首先建立公差的方程,确定得到等差数列的通项公式;再根据求得.

(II)根据

建立

两式相减得到

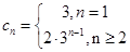
通过验证,不适合上式,确定得到,从而求得.

试题解析:(I)等比数列,

又因为

(II)因为

所以

①-②:

考点:等差数列、等比数列,数列的通项,数列的求和.

 

练习册系列答案
相关题目

违法和不良信息举报电话:027-86699610 举报邮箱:58377363@163.com

精英家教网