题目内容
下列四个命题中①“k=1”是“函数y=cos2kx-sin2kx的最小正周期为π”的充要条件;
②“a=3”是“直线ax+2y+3a=0与直线3x+(a-1)y=a-7相互垂直”的充要条件;
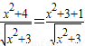
③函数
其中假命题的为 将你认为是假命题的序号都填上)
【答案】分析:①k=-1,函数y=cos2kx-sin2kx的最小正周期也为π,可判定真假;
②根据两条线垂直的充要条件求出a,进行判断真假;
③函数整理出来满足基本不等式的形式,但是等号不能成立,可判定真假.
解答:解:①当k=-1,函数y=cos2(-x)-sin2(-x)=cos2x,最小正周期也为π,是个假命题;
②直线ax+2y+3a=0与直线3x+(a-1)y=a-7相互垂直,
根据两条线垂直的充要条件3a+2(a-1)=0,得到a=
,这是一个假命题;
③函数 y=
=
≥2,
等号不能成立,不能取到最小值,
综上可知假命题有①②③,
故答案为:①②③.
点评:本题主要考查了必要条件、充分条件与充要条件的判断,以及函数的最值及其几何意义,是一道综合题.
②根据两条线垂直的充要条件求出a,进行判断真假;
③函数整理出来满足基本不等式的形式,但是等号不能成立,可判定真假.
解答:解:①当k=-1,函数y=cos2(-x)-sin2(-x)=cos2x,最小正周期也为π,是个假命题;
②直线ax+2y+3a=0与直线3x+(a-1)y=a-7相互垂直,
根据两条线垂直的充要条件3a+2(a-1)=0,得到a=
③函数 y=
等号不能成立,不能取到最小值,
综上可知假命题有①②③,
故答案为:①②③.
点评:本题主要考查了必要条件、充分条件与充要条件的判断,以及函数的最值及其几何意义,是一道综合题.
练习册系列答案
相关题目