题目内容
已知函数(1)若f(x)=lnx+φ(x),且
(2)若g(x)=|lnx|+φ(x),且对任意x1,x2∈(0,2],x1≠x2,都有
【答案】分析:(1)先对函数y=f(x)进行求导,然后令导函数大于0(或小于0)求出x的范围,根据f′(x)>0求得的区间是单调增区间,f′(x)<0求得的区间是单调减区间,即可得到答案.
(2)设h(x)=g(x)+x,依题意得出h(x)在(0,2]上是减函数.下面对x分类讨论:①当1≤x≤2时,②当0<x<1时,利用导数研究函数的单调性从及最值,即可求得求a的取值范围.
解答:解:(1)
,(2分)
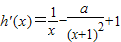
∵
,令f′(x)>0,得x>2,或
,
∴函数f(x)的单调增区间为
,(2,+∞).(6分)
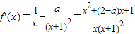
(2)∵
,
∴
,
∴
,(8分)
设h(x)=g(x)+x,依题意,h(x)在(0,2]上是减函数.
当1≤x≤2时,
,
,
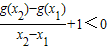
令h′(x)≤0,得:
对x∈[1,2]恒成立,
设
,则
,
∵1≤x≤2,∴
,
∴m(x)在[1,2]上递增,则当x=2时,m(x)有最大值为
,
∴
(12分)
当0<x<1时,
,
,
令h′(x)≤0,得:
,
设
,则
,
∴t(x)在(0,1)上是增函数,
∴t(x)<t(1)=0,
∴a≥0,(15分)综上所述,
(16分)
点评:本小题主要考查函数单调性的应用、利用导数研究函数的单调性、导数的几何意义、不等式的解法等基础知识,考查运算求解能力,属于基础题.
(2)设h(x)=g(x)+x,依题意得出h(x)在(0,2]上是减函数.下面对x分类讨论:①当1≤x≤2时,②当0<x<1时,利用导数研究函数的单调性从及最值,即可求得求a的取值范围.
解答:解:(1)
∵
∴函数f(x)的单调增区间为
(2)∵
∴
∴
设h(x)=g(x)+x,依题意,h(x)在(0,2]上是减函数.
当1≤x≤2时,
令h′(x)≤0,得:
设
∵1≤x≤2,∴
∴m(x)在[1,2]上递增,则当x=2时,m(x)有最大值为
∴
当0<x<1时,
令h′(x)≤0,得:
设
∴t(x)在(0,1)上是增函数,
∴t(x)<t(1)=0,
∴a≥0,(15分)综上所述,
点评:本小题主要考查函数单调性的应用、利用导数研究函数的单调性、导数的几何意义、不等式的解法等基础知识,考查运算求解能力,属于基础题.
练习册系列答案
相关题目