题目内容
与双曲线
【答案】分析:由于与双曲线
有共同的渐近线,故方程可假设为
,再利用过点(2,2)即可求
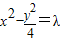
解答:解:设双曲线方程为
∵过点(2,2),∴λ=3
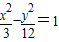
∴所求双曲线方程为
故答案为
点评:本题的考点是双曲线的标准方程,主要考查待定系数法求双曲线的标准方程,关键是方程的假设方法.
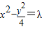
解答:解:设双曲线方程为
∵过点(2,2),∴λ=3
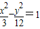
∴所求双曲线方程为
故答案为
点评:本题的考点是双曲线的标准方程,主要考查待定系数法求双曲线的标准方程,关键是方程的假设方法.
练习册系列答案
相关题目