题目内容
双曲线A.1或9
B.9
C.11
D.3
【答案】分析:根据双曲线的渐近线公式,算出a=2,得双曲线方程为
.由双曲线的定义得|PF1|-|PF2|=±4,结合|PF1|=5算出|PF2|=1或9,再由平面几何原理加以验证得到|PF2|=1不合题意舍去,可得|PF2|=9.
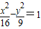
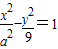
解答:解:∵双曲线
的渐近线为3x±2y=0,
∴
=
,可得a=2,
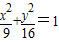
双曲线方程为
,c=
=
∵F1,F2是两个焦点,P在双曲线上,
∴由双曲线的定义,得|PF1|-|PF2|=±2a=±4
因此|PF2|=|PF1|±4=5±4,得|PF2|=1或9
又∵|PF1|+|PF2|≥|F1F2|=2
∴当|PF2|=1时,|PF1|+|PF2|=6<2
不符合题意
因此|PF2|=1舍去,可得|PF2|=9
故选:B
点评:本题给出双曲线上一点到左焦点的距离,求它到右焦点的距离.着重考查了双曲线的定义、标准方程与简单几何性质等知识,属于中档题.
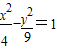
解答:解:∵双曲线
∴
双曲线方程为
∵F1,F2是两个焦点,P在双曲线上,
∴由双曲线的定义,得|PF1|-|PF2|=±2a=±4
因此|PF2|=|PF1|±4=5±4,得|PF2|=1或9
又∵|PF1|+|PF2|≥|F1F2|=2
∴当|PF2|=1时,|PF1|+|PF2|=6<2
因此|PF2|=1舍去,可得|PF2|=9
故选:B
点评:本题给出双曲线上一点到左焦点的距离,求它到右焦点的距离.着重考查了双曲线的定义、标准方程与简单几何性质等知识,属于中档题.
练习册系列答案
相关题目