题目内容
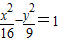
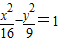
已知双曲线的渐近线为3x±4y=0,且焦距为10,则双曲线标准方程是( )A.
B.
C.
D.
【答案】分析:根据双曲线的渐近线方程为3x±4y=0,并且焦距为10,分类讨论,即可得到结论.
解答:解:当焦点在x轴上时,∵双曲线的渐近线方程为3x±4y=0,并且焦距为10,
∴
,∴
∴双曲线的标准方程为
;
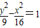
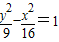
当焦点在y轴上时,∵双曲线的渐近线方程为3x±4y=0,并且焦距为10,
同样可得双曲线的标准方程为
,
综上知,双曲线的标准方程为
或
.
故选D.
点评:本题考查双曲线的几何性质,考查双曲线的标准方程,解题的关键是正确分类,明确双曲线的渐近线方程的求法.
解答:解:当焦点在x轴上时,∵双曲线的渐近线方程为3x±4y=0,并且焦距为10,
∴
∴双曲线的标准方程为
当焦点在y轴上时,∵双曲线的渐近线方程为3x±4y=0,并且焦距为10,
同样可得双曲线的标准方程为
综上知,双曲线的标准方程为
故选D.
点评:本题考查双曲线的几何性质,考查双曲线的标准方程,解题的关键是正确分类,明确双曲线的渐近线方程的求法.
练习册系列答案
相关题目