搜索
题目内容
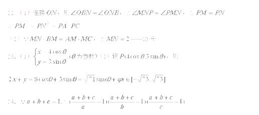
.已知
,且
,求证:
试题答案
相关练习册答案
,当且仅当
时取等号
解析
练习册系列答案
归纳与测评系列答案
贵州中考系列答案
滚动迁移中考总复习系列答案
海东青中考ABC卷系列答案
好学生课时检测系列答案
好学生口算计算应用一卡通系列答案
毕业生升学文化课考试说明系列答案
各地期末卷真题汇编系列答案
毕业生学业考试说明与检测系列答案
河南中考全程总复习系列答案
相关题目
已知
,且
,求证:
已知
,且
。
求证:
中至少有一个是负数。
已知
,且
。
求证:
中至少有一个是负数。
已知
,且
,求证:
已知
,且
,
.
求证:对于
,有
.
关 闭
试题分类
高中
数学
英语
物理
化学
生物
地理
初中
数学
英语
物理
化学
生物
地理
小学
数学
英语
其他
阅读理解答案
已回答习题
未回答习题
题目汇总
试卷汇总
练习册解析答案