题目内容
已知F1、F2分别是双曲线
【答案】分析:本题考查的是双曲线的简单性质,要求出双曲线的离心率,关键是要根据已知构造一个关于离心率e,或是关于实半轴长2a与焦距2C的方程,解方程即可求出离心率,注意到已知条件中,∠F1PF2=90°,且△F1PF2的三边长成等差数列,结合双曲线的定义,我们不难得到想要的方程,进而求出离心率.
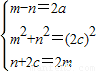
解答:解:设|PF1|=m,|PF2|=n,
不妨设P在第一象限,
则由已知得
∴5a2-6ac+c2=0,
方程两边同除a2得:
即e2-6e+5=0,
解得e=5或e=1(舍去),
故答案为5.
点评:解题过程中,为了解答过程的简便,我们把未知|PF1|设为m,|PF2|设为n,这时要求离心率e,我们要找出a,c之间的关系,则至少需要三个方程,由已知中,若∠F1PF2=90°,且△F1PF2的三边长成等差数列,我们不难得到两个方程,此时一定要注意双曲线的定义,即P点到两个焦点的距离之差为定值.
解答:解:设|PF1|=m,|PF2|=n,
不妨设P在第一象限,
则由已知得
∴5a2-6ac+c2=0,
方程两边同除a2得:
即e2-6e+5=0,
解得e=5或e=1(舍去),
故答案为5.
点评:解题过程中,为了解答过程的简便,我们把未知|PF1|设为m,|PF2|设为n,这时要求离心率e,我们要找出a,c之间的关系,则至少需要三个方程,由已知中,若∠F1PF2=90°,且△F1PF2的三边长成等差数列,我们不难得到两个方程,此时一定要注意双曲线的定义,即P点到两个焦点的距离之差为定值.
练习册系列答案
相关题目