题目内容
已知椭圆的中心在原点,焦点为F1(0,-(Ⅰ)求椭圆的方程;
(Ⅱ)直线l(与坐标轴不平行)与椭圆交于不同的两点A、B,且线段AB中点的横坐标为
【答案】分析:(I)设椭圆方程为
,由焦点可得c,由离心率可得a,再由b2=a2-c2可得b;
(II)设直线l的方程为y=kx+m(k≠0),代入椭圆方程消掉y得x的二次方程,则△>0①,设A(x1,y1),B(x2,y2),由中点坐标公式可得2×
=x1+x2,代入韦达定理可得m,k的方程②,代入①消掉m即可;
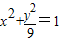
解答:解:(I)设椭圆方程为
,
由题意得c=2
,e=
,所以a=3,
b2=a2-c2=1,
所以椭圆的方程为
;
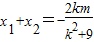
(II)设直线l的方程为y=kx+m(k≠0),
由
得(k2+9)x2+2kmx+m2-9=0,
则△=4k2m2-4(k2+9)(m2-9)>0,即k2-m2+9>0①,
设A(x1,y1),B(x2,y2),则
,
因为线段AB中点的横坐标为
,所以2×(-
)=-
,
化简得k2+9=2km,所以m=
②,
把②代入①整理得k4+6k2-27>0,解得k<-
或k>
,
所以直线l倾斜角的取值范围为k<-
或k>
.
点评:本题考查直线与圆锥曲线的位置关系、椭圆方程的求解,考查学生分析解决问题的能力,(Ⅱ)中由直线交椭圆于不同两点得不等式△>0,由中点横坐标得一方程,两者联立即可求得范围,称为“方程不等式法”,解题中注意应用.
(II)设直线l的方程为y=kx+m(k≠0),代入椭圆方程消掉y得x的二次方程,则△>0①,设A(x1,y1),B(x2,y2),由中点坐标公式可得2×
解答:解:(I)设椭圆方程为
由题意得c=2
b2=a2-c2=1,
所以椭圆的方程为
(II)设直线l的方程为y=kx+m(k≠0),
由
则△=4k2m2-4(k2+9)(m2-9)>0,即k2-m2+9>0①,
设A(x1,y1),B(x2,y2),则
因为线段AB中点的横坐标为
化简得k2+9=2km,所以m=
把②代入①整理得k4+6k2-27>0,解得k<-
所以直线l倾斜角的取值范围为k<-
点评:本题考查直线与圆锥曲线的位置关系、椭圆方程的求解,考查学生分析解决问题的能力,(Ⅱ)中由直线交椭圆于不同两点得不等式△>0,由中点横坐标得一方程,两者联立即可求得范围,称为“方程不等式法”,解题中注意应用.
练习册系列答案
相关题目