题目内容

在平面上三点A(-1,0)、B(2,4)、C(14,5)处分别放置质量为3g、4g、5g的质点,求它们的质量中心.

答案:略
解析:

解:由物理学知识,质量为的两质点分别在处,其合力作用在连结的线段上P(xy)处.

由力矩相等的原理,有

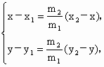
(P在线段)

P(xy),则有

解得

由此可得AB两处质量中心

D处的质量为34=7(g)

于是ABC三处质量中心

ABC三处质量中心

本题应结合物理知识和向量知识解决.


提示:

(1)向量共线的条件及力矩相等原理是解决此题的关键.

(2)结论可推广为n个质点的问题.


练习册系列答案
相关题目

违法和不良信息举报电话:027-86699610 举报邮箱:58377363@163.com

精英家教网