题目内容
(1)若最大拱高h为6米,则隧道设计的拱宽l是多少?
(2)若最大拱高h不小于6米,则应如何设计拱高h和拱宽l,才能使半个椭圆形隧道的土方工程量最最小?(半个椭圆的面积公式为
【答案】分析:(1)根据题意,建立坐标系,可得P的坐标并设出椭圆的方程,将b=h=6与点P坐标代入椭圆方程,得
,依题意,可得l=2a,计算可得答案;
(2)根据题意,设椭圆方程为
,将(11,4.5)代入方程可得
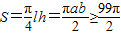
,结合基本不等式可得
,分析可得当ab≥99且l=2a,h=b时,
,进而分析可得答案.
解答:
解:(1)如图建立直角坐标系,则点P(11,4.5),
椭圆方程为
.
将b=h=6与点P坐标代入椭圆方程,
得
,
此时此时
因此隧道的拱宽约为33.3米;
(2)由椭圆方程
,
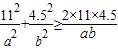
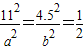
根据题意,将(11,4.5)代入方程可得
.
因为
即ab≥99且l=2a,h=b,
所以
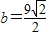
当S取最小值时,
有
,
得
,
此时
,h=b≈6.4
故当拱高约为6.4米、拱宽约为31.1米时,土方工程量最小.
点评:本题考查椭圆的实际运用,注意与实际问题相结合,建立合适的坐标系,设出点的坐标,结合椭圆的有关性质进行分析、计算、解题.
(2)根据题意,设椭圆方程为
解答:
椭圆方程为
将b=h=6与点P坐标代入椭圆方程,
得
此时此时
因此隧道的拱宽约为33.3米;
(2)由椭圆方程
根据题意,将(11,4.5)代入方程可得
因为
即ab≥99且l=2a,h=b,
所以
当S取最小值时,
有
得
此时
故当拱高约为6.4米、拱宽约为31.1米时,土方工程量最小.
点评:本题考查椭圆的实际运用,注意与实际问题相结合,建立合适的坐标系,设出点的坐标,结合椭圆的有关性质进行分析、计算、解题.
练习册系列答案
相关题目